2020中级会计师财管公式大全「中级会计财务管理必背公式」 中美利差倒挂对我国什么影响「中美利差对人民币汇率的影响」 美国国债抛售潮蔓延「中国抛售423亿美债」 存款利率低 没有保本理财 投资该怎么办呢「利息低怎么理财」 太仓昆池投资基金「太仓土地拍卖成交公告2021」 基金名称中的ABC是什么意思「基金后面的abc」 储蓄国债电子式正常交易时间为几点「国债交易时间是几点」 怎样计算出股票价格是否合理「怎么计算一个股票的合理股价」 金融衍生品分析总结「怎样看待金融衍生品市场」 债券评估值「华夏银行估值2017」 全球债券行情「股市大跌债券会跌吗」 关注工具型产品配置价值的策略「价值配置」 刘銮雄持股恒大比例「刘銮雄投资中国恒大」 美国债收益率下跌说明什么「国债收益率曲线分析」 柠檬市场举例说明「贴现市场属于什么市场」 私募基金八大策略介绍「私募基金怎么投资」 以太坊2.0存款合约是什么「如何在以太坊上部署智能合约」 英语专八词汇表「词汇表带音标B级单词222」 河北省发行债券「可交债可以交易吗」 基金单日限购1000「基金限额申购说明了什么问题」 美国的外债「中国接盘美债」 2020年下半年纯债基金「纯债基金哪家基金公司做的最好」 加快停车设施建设「关于推动城市停车设施发展的意见」 永续债的特点包括「永续债」 涨起来的涨「到处都在涨」 项目两新一重「重打包工具」 永续债 会计准则「永续债条件」 明日道通转债上市 预计每签可赚290元币「可转债打新一签能中多少」 中国铁建发行债券「推行铁路建设」 可转债中签率越低越好吗「可转债涨20%」 上海银行今天发债「民生证券」 信用债券危机「可转债代持」 蓝筹和中小盘什么意思「基金蓝筹是什么意思」 可转债达到赎回价格,但公司不赎回「可转债未到转股期可强制赎回吗」 下半年专项债发行「专项债发行进度」 财务管理 可转换债券「可转换为股票的公司债券」 金融支持文旅融合发展「发展竞争力浙江」 基金的季报怎么看「基金季度报表怎么看」 债券与股市的跷跷板效应「跷跷板效应」 政策性银行逆周期调节作用「宏观政策逆周期调节」 第一类金融资产债务工具在利润表中的列示正确的有「金融会计准则」 微信零钱通直接消费「2万放余额宝还是零钱通」 微信零钱通赚的多还是余额宝赚的多「余额宝利润高还是零钱通」 平安投资失误「平安不动产基金何总」 全球国债利率「国债做空是什么意思」 中国股债双杀「债券市场崩盘」 京东金融 白条取现方法有哪些「京东白条取现钱到哪里」 政府隐性债务排查报告「财政隐性债务」 地方债券卖出「1000元债券能赚多少」 etf基金下折风险「一级市场流动性折价」
您的位置:首页 >新闻 >

2020中级会计师财管公式大全「中级会计财务管理必背公式」

2023-01-21 11:02:19来源:一起考会计中级职称

说明: 1.根据公式的重要程度,前面标注★★★;★★;★ 2.标注页码的依据是 2019 版中级财管教材; 3.对于该类公式的复习说明,请参阅教材进行把握。

第二章 财务管理基础

货币时间价值 ★P23:复利终值:F=P×(1+i)n ★★★

P24:复利现值:P=F×(1+i)-n ★★★

P25:普通年金现值:P=A×(P/A,i,n),逆运算:年资本回收额,A= P/(P/A,i,n) ★★

P26:预付年金现值:P=A×(P/A,i,n)×(1+i) ★★★

P27:递延年金现值:P=A×(P/A,i,n)×(P/F,i,m) ★★

P29:永续年金现值:P=A/i ★

P30:普通年金终值:F=A×(F/A,i,n),逆运算:偿债基金,A= F/(F/A,i,n) ★

P31:预付年金终值:F=A×(F/A,i,n)×(1+i)

【提示】1.永续年金没有终值;2.递延年金终值的计算和普通年金类似,不过需要注意确定参数 n(也就是 年金的个数)。

【要求】1.判断是一次支付还是年金;2.注意期数问题,列出正确表达式;3.对于系数,考试会予以告诉, 不必记系数的计算公式,但是其表达式必须要掌握;4.在具体运用中,现值比终值更重要,前者需要理解 并灵活运用,后者可以作一般性地了解。

【运用】1.年资本回收额的计算思路,可以运用于年金净流量(P149),年金成本(P161)的计算中;2.递延 年金现值的计算思路,可以运用在股票价值计算中,阶段性增长模式下,求正常增长阶段股利现值和

(P173);3.普通年金现值的计算,可以运用在净现值的计算(P148),内含报酬率的列式(P151),债券价 值计算(P168)等地方。

★★★P32:

插值法 解决下面的问题:

当折现率为 12%时,净现值为-50;当折现率为 10%时,净现值为 150,求内含报酬率为几何? (12%-10%)/(12%-IRR)=(-50-150)/(-50-0)。解得:IRR=11.5%

【要求】不必死记公式,列出等式,两端分别是折现率和对应的系数,只要一一对应起来,就能得到最终 的结果。

【运用】1.实际利率的计算(P33);2.内含报酬率的计算(P152);3.资金成本贴现模式的计算 (P119);4. 证券投资收益率的计算(P171 债券,P173 股票)。

【提示】涉及到插值法,共计四个步骤:1.列式;2.试误;3.内插;4.计算。对于试误这一步,如果题目有 提示利率的范围,是最好;如果没有提示,可以从 10%开始,如果现值太低,降低折现率;反之亦然。测 试完毕的标志是:1.两个结果分布于“标准”的两边;2.利率之差不能超过 2%。

P32:利率的计算

★★★一年内多次计息,有效年利率的推算:i=(1+r/m)m-1

★★实际利率=(1+名义利率)/(1+通货膨胀率)-1

【要求】上述第一个公式必须掌握,第二个公式需要明确名义利率、通货膨胀率和实际利率之间的关系。

★P39:证券资产组合的风险与收益

n

证券资产组合的预期收益率 E(RP)=

【要求】不要记忆公式,直接记住证券资产组合的预期收益率等于各项资产收益率的加权平均数即可。

【提示】涉及到加权计算的还有:1.资产组合贝塔系数的计算(P42);2.加权平均资本成本的计算(P121); 3.加权平均边际贡献率的计算(P229)。

★★P40:两项资产组合方差的计算

【要求】需要注意的是,对于相关系数的不同范围,两项资产的组合风险如何变化。相关系数在-1 和 1 之 间,当相关系数为 1,完全正相关,不会分散任何风险;只要小于 1,就能够分散风险,并且越小分散效 应越明显。

★★★P43:资本资产定价模型 证券资产组合的必要收益率=Rf+βP×(Rm-Rf)

【要求】重要公式,必须记忆并灵活运用;

【提示】如果考题中告诉的收益率前面紧挨着有“风险”定语,如市场股票的平均风险收益率,市场上所 有资产的平均风险收益率,那么这个收益率即为“(Rm-Rf)”(风险溢酬)。

【运用】1.求证券组合的必要收益率(P43);2.计算股权资本成本的方法之一(P121);3.确定公司价值分析 法中,就股权价值计算的折现率的确定(P135);4.计算股票价值时,投资人要求的必要报酬率 Rs 的确定 (P173)。

★★P51:高低点法(成本性态分析) 单位变动成本=(最高点业务量成本-最低点业务量成本)/(最高点业务量-最低点业务量)

【要求】不必死记硬背,根据高低点,结合成本性态公式,列出二元一次方程组,解之即可。

【提示】选择高低点一定是业务量(自变量)的高低点,而不是资金(成本) (因变量)的高低点。 【运用】1.对混合成本进行分解(P51);2.用资金习性预测法来预测资金的占用(逐项分析)(P116)。

★★★P52:总成本模型 总成本=固定成本总额+单位变动成本×业务量 【要求】公式简单,必须掌握,这是量本利分析的基础。

第三章 预算管理

★★P65:生产预算 预计生产量=预计销售量+预计期末产成品存货-预计期初产成品存货

【备注】等式右边前两者是需求量,第三项是存货来源之一,差值即为当期的生产量(来源之二)。

★★P65:直接材料预算编制 预计采购量=生产需用量+期末存量-期初存量

★★★P70:现金预算

可供使用现金=期初现金余额+现金收入;可供使用现金-现金支出=现金余缺 现金余缺+现金筹措-现金运用=期末现金余额

【备注】注意利息的支付属于现金筹措及运用范畴,计算“现金余缺”的时候不考虑利息支出。

第四章 筹资管理(上)

★★P105:可转换债券:转换比率=债券面值/转换价格 【提示】转换比率是指“每张”债券可以转成普通股的股数。需要关注三个指标之间的关系。

第五章 筹资管理(下)

★P112:因素分析法: 资金需要量=(基期资金平均占用额-不合理资金占用额)×(1+预测期销售增长率)×(1-预测 期资金周转速度增长率)

【提示】如果周转速度增加,用减号,反之用加号(周转速度越快,资金占用越少)

★★★P113:销售百分比法: 外部融资额=敏感性资产增加额-敏感性负债增加额-预期利润留存 预计利润留存=预测期销售收入×预测期销售净利率×(1-预计股利支付率)

【提示】如果题目涉及到固定资产的投入,在外部筹资额中还需要加上固定资产购买的资金需求。对于敏 感性资产和负债,考试会直接告诉,或者告诉哪些资产负债和销售收入成正比例变化(这就是敏感性资产 和负债)。

★★★P119:资本成本一般模式 资本成本率=年资金占用费/(筹资总额-筹资费用)

【提示】该公式主要用于银行借款和公司债券资本成本的计算,尤其注意如果分母是利息,则需要考虑抵 税的问题,即“年利息×(1-所得税税率)”;如果是优先股股息,则不能考虑抵税,因为股息是税后利润 中支付。做如下两小题: 1.银行借款总额 100 万,筹资费率为 1%,年利率为 10%,所得税税率为 25%,资金成本率为几何(7.58%) 2.发行公司债券筹资,面值总额为 100 万,票面利率 10%,所得税税率为 25%,溢价发行,发行价为 120 万,筹资费率为 3%,资金成本率为几何(6.44%)——计算中,分子一律用票面要素,分母用发行要素。

★★★P119:资本成本贴现模式 现金流入的现值等于现金流出现值的折现率(思路同内含报酬率)。 如:银行借款为:借款额×(1-手续费率)=年利息×(1-所得税税率)×(P/A,Kb,n)+借款额× (P/F,Kb ,n)

公司债券为:贴现模式(每年支付一次利息):筹资总额×(1-手续费率)=年利息×(1-所得税税率) ×(P/A,Kb ,n)+债券面值×(P/F,Kb ,n)

【提示】以上公式不必死记硬背,关键是要区分现金流量,并且能正确予以折现列示。

★★★P121:普通股资本成本计算之股利增长模型法: KS=预计第一期股利/[当前股价×(1-筹资费率)]+股利增长率

【提示】第一期的股利一定是未发放的,发放的股利不能纳入资本成本的计算范畴,也不能纳入证券价值 的计算范畴。

【运用】这个公式和股票投资的内部收益率的计算类似(P173),只不过筹资费是筹资方承担,故资金成本 中予以体现;投资者不承担筹资费(对于投资费,很少涉及,故省略)。

【提示】如果存在优先股,那么在财务杠杆系数和总杠杆系数的分母,还需要扣除“Dp/(1-T)”,即需要把 优先股股息转换为税前。

【要求】1.明白是哪两项变化率之比;2.给出基期数据,能否计算当期的杠杆系数(不能,用基期的数据计 算的是下一期的杠杆系数);3.如果引入了优先股股息,需要在财务杠杆系数后总杠杆系数分母的 I0 后面再 扣除[Dp0÷(1-所得税税率)]

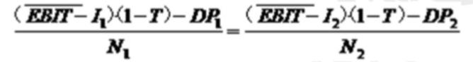
★★P133:每股收益无差别点的计算

【提示】决策思路是,如果规模小,息税前利润低(小于无差别点),用权益资本;反之用债务资本。

第六章 投资管理

★★★P144:项目现金流量 营业现金净流量=营业收入-付现成本-所得税 =税后营业利润+非付现成本 =收入×(1-所得税税率)-付现成本×(1-所得税税率)+非付现成本×所得税税率

【备注】很重要的公式,建议自己推导一下几个公式之间的关联性。

★★★P144:固定资产变现的税收问题 纳税额:(变现价值-账面价值)×企业所得税税率,如果为正,纳税(现金流出);反之抵税(现金流入)。

【提示】净现值≥0,那么年金净流量≥0,现值指数≥1,内含报酬率≥必要报酬率;方案可行。反之,方案不可行,以上几个指标原则上越大越好,但回收期原则上越小越妙。

★★P167:债券投资 债券价值=债券各年利息现值之和+债券到期日面值现值

【提示】利息的计算,本金的归还,一律用票面要素。

★★P172:股票投资 股票的价值=未来第一期股利/(折现率-增长率) 当增长率=0 时,股票的价值=股利/折现率 【提示】价值就是未来现金净流量的现值之和,对于证券价值适合,甚至对于项目价值,企业价值均适合。

第七章 营运资金管理 ★P182:目标现金余额的确定之成本模型 最佳现金持有量=min(管理成本+机会成本+短缺成本)

【提示】管理成本往往是固定的,机会成本随着现金持有量增加而增加,短缺成本随着现金持有量减少而 增加,故核心就是找到机会成本和短缺成本之和最低的现金持有量。

★P185:存货模式

【提示】考虑了交易成本和机会成本。

★★P185:随机模型 H(最高控制线)=3R-2L

回归线:

【提示】对于第一个公式,记住最高限到回归线的距离为回归线到最低限的距离的两倍即可,即 H-R=2 (R-L)。涉及到现金转换,只有达到或超出控制线才予以转换,转换后现金为回归线数值。第二个公式瞬 间记忆即可,可考性很低。

★★P189:现金收支日常管理 现金周转期=存货周转期+应收账款周转期-应付账款周转期

★★★P191:应收账款的成本=全年销售额/360×平均收现期×变动成本率×资本成本 【提示】在进行信用政策确定的时候,其他的成本不容易遗漏,但上述公式涉及到的成本容易忘记。如果 是多次付款(如 10 天有 40%付款,30 天有 60%付款),建议计算平均收现期统一带入公式计算(平均 收现期用加权平均法)。如果涉及到现金折扣,其现金折扣成本不要落下。

★★★P206~208:存货管理 经济订货批量的基本模型:经济订货量

存货相关总成本=

经济订货批量的基本模型:经济订货量

陆续供给下经济订货批量: 保险储备的再订货点=预计交货期内的需求+保险储备=交货时间×平均日需求量+保险储备

【提示】保险储备的确定有以下几步:1.确定交货期(一般会涉及到加权);2.确定交货期的存货耗用量 (每日耗用×交货期);3.区别不同情况下的保险储备(从保险储备为 0 开始,然后逐一增加每天的耗用 量);4.计算成本,涉及到保险储备的储存成本和缺货成本(缺货成本的计算需要特别注意,缺货成本= 平均缺货量×单位缺货成本×订货次数)

流动负债管理 ★★P213:补偿性余额实际利率=名义利率/(1-补偿性余额比例)

★★P213:贴现法实际利率=名义利率/(1-名义利率)

★★★P215:放弃现金折扣的信用成本率=折扣率/(1-折扣率)×360/(付款期-折扣期)

【提示】上述第三个公式,分母“付款期-折扣期”中,如果题目没有告诉具体的付款期,那么放弃现金折 扣的客户可以认为是在信用期付款;如果实际付款期不等于信用期,应该用实际付款期计算。比如信用期 为 30 天,实际付款期是 50 天,此时公式中的信用期应该用 50 而不是 30。

第八章 成本管理

★★★P223:量本利分析

单位边际贡献=单价-单位变动成本=单价×边际贡献率 边际贡献率=边际贡献总额/销售收入=单位边际贡献/单价 【提示】上述核心的公式必须记住,后面的公式可以由此推导得出。如计算保本点,令利润=0 即可;如计 算特定的利润,把等式左面用特定的数值替代即可。 【应用】1.保本分析(P224);2.安全边际量(率)的计算(P227);3.多品种量本利分析(P229);4.目标利润的 分析(P233);5.以成本为基础的产品定价方法(全部成本费用加成定价法、保本点定价法、目标利润法、 变动成本定价法)(P272~273)。

★★P235:利润敏感性分析 敏感系数=利润变动百分比/因素变动百分比 【提示】注意是变动率之比,而不是变动额之比。另,分析指标在分子,影响因素在分母;用敏感系数的 绝对值判断敏感性,绝对值越大越敏感,反之亦然。

★★P243~P246 成本差异计算 变动成本差异分析: 价格差异=(实际价格-标准价格)×实际用量; 用量差异=标准价格×(实际用量-实际产量下标准用量) 【提示】1.上述差异分析均针对实际产量;2.括号外面记住“价标量实”,即价格用标准,用量用实际;3. 不同的费用差异有不同的名称:价差和量差分别为,直接材料为价格差异和用量差异,直接人工为工资率 差异和效率差异,变动制造费用为耗费差异和效率差异。 固定制造费用差异分析:

【提示】 (1)-(2)=耗费差异;(2)-(3)=产量差异;(3)-(4)=效率差异;(2)-(4)=能量差异。

★P255:成本中心 预算成本节约额=实际产量预算责任成本(实际产量下的预算成本)-实际责任成本 预算成本节约率=预算成本节约额/实际产量预算责任成本×100%

★P256:利润中心 边际贡献=销售收入总额-变动成本总额 可控边际贡献(也称部门经理边际贡献)=边际贡献-该中心负责人可控固定成本 部门边际贡献(又称部门毛利)=可控边际贡献-该中心负责人不可控固定成本 【备注】可控边际贡献考核部门经理,部门边际贡献考核利润中心。

★★P257:投资中心 投资报酬率=息税前利润/平均经营资产 平均经营资产=(期初经营资产+期末经营资产)/2 剩余收益=息税前利润-(平均经营资产×最低投资报酬率)

第九章 收入与分配管理

★★P266-268:销售预测分析中的趋势预测分析

算术平均法:销售量预测值=(∑第 i 期的实际销售量)/期数

加权平均法:销售量预测值=∑(第 i 期的权数×第 i 期的实际销售量)

★★★P272-273:以成本为基础的产品定价方法

成本利润率定价: 成本利润率=预测利润总额/预测成本总额 单位产品价格=单位成本×(1+成本利润率)/(1-适用税率)

销售利润率定价: 销售利润率=预测利润总额/预测销售总额 单位产品价格=单位成本/(1-销售利润率-适用税率)

保本点定价法: 单位产品价格=(单位固定成本+单位变动成本)/(1-适用税率) =单位完全成本/(1-适用税率)

目标利润法:

单位产品价格=(目标利润总额+完全成本总额)/[产品销量×(1-适用税率)] =(单位目标利润+单位完全成本)/(1-适用税率)

变动成本定价法(特殊情况下的定价方法): 单位产品价格=单位变动成本×(1+成本利润率)/(1-适用税率)

【备注】以上的几个公式可以由量本利基本模型的核心公式推导得出,即利润=销售收入-成本。比如销售 利润率定价法,假设单价为 A,那么应该有:A×销售利润率=A-A×适用的税率-单位成本;推导得出上述 公式。

第十章 财务分析与评价

【备注】本章的财务指标比较多,记忆的时候可以“望名生义”,通过名字来记住公式。 ★P313~314:财务分析的方法 定基动态比率=分析期数额/固定基期数额 环比动态比率=分析期数额/前期数额 构成比率=某个组成部分数值/总体数值

★★P320~325:偿债能力分析

★★P326~329:营运能力分析 基本指标包括:应收账款周转率、存货周转率、流动资产周转率、固定资产周转率以及总资产周转率。

【提示】1.计算周转次数时,存货周转率为销售成本,而其他周转率均为销售收入;2.考试中,如果告诉 了某项资产的期初期末数值,为了和分子时期数配比,原则上应该计算期初期末数的平均值,除非题目特 别说明用期末数,或者无法取得期初数,此时可以用期末数近似替代;3.周转天数=计算期(通常是 365 天)÷周转次数。

★★★P330~332:盈利能力分析 营业毛利率=营业毛利÷营业收入×100%;其中:营业毛利=营业收入-营业成本

营业净利率=净利润÷营业收入×100%

总资产净利率=净利润÷平均总资产×100%

净资产收益率=净利润÷平均所有者权益×100%

总资产净利率=净利润÷平均总资产=营业净利率×总资产周转率

净资产收益率=净利润÷平均净资产=净利润÷平均总资产×平均总资产÷平均净资产=资产净利率× 权益乘数

【提示】这类指标的记忆并不困难,通过其名称,基本上也就八九不离十。尤其要注意的是净资产收益 率,这是杜邦分析体系的核心指标。

★P332~333:发展能力分析 营业收入增长率=本年营业收入增长额/上年营业收入×100% 总资产增长率=本年资产增长额/年初资产总额×100%

营业利润增长率=本年营业利润增长额/上年营业利润总额×100%

资本保值增值率=扣除客观因素影响后的期末所有者权益÷期初所有者权益×100%

所有者权益增长率=本年所有者权益增长额/年初所有者权益×100%

(其中:本年所有者权益增长额 =年末所有者权益-年初所有者权益)

【提示】除了资本保值增值率之外,其他的指标均为:本期增长额/期初(上期)数。

★★P334~335:现金流量分析 营业现金比率=经营活动现金流量净额÷营业收入

每股营业现金净流量=经营活动现金流量净额÷普通股股数

全部资产现金回收率=经营活动现金流量净额÷平均总资产×100% 净收益营运指数=经营净收益÷净利润

其中:经营净收益=净利润-非经营净收益 现金营运指数=经营活动现金流量净额÷经营所得现金

【提示】除了净收益营运指数外,其他指标的分子均为“经营活动现金流量净额”。

★★P336~340:上市公司特殊财务分析指标 基本每股收益=归属于公司普通股股东的净利润/发行在外的普通股加权平均数

每股股利=普通股现金股利总额/年末普通股股数(股数为年末数)

市盈率=每股市价/每股收益 每股净资产=股东权益总额/发行在外的普通股股数(股数为年末数)

市净率=每股市价/每股净资产

【备注】基本每股收益的分母调整需要注意,如果是分发股票股利,虽然股数增加,但是不增加新的资 本, 此时不考虑时间权重;如果是发行普通股筹资,股数增加,资本也一并增加,此时才考虑普通股股数增加 的时间权重。

★★★P342:企业综合绩效分析的方法 净资产收益率=营业净利率×总资产周转率×权益乘数 =净利润/营业收入×营业收入/平均总资产×平均总资产/平均股东权益

【备注】核心公式,务必掌握

郑重声明:本网站所有信息仅供参考,不做交易和服务的根据,如自行使用本网资料发生偏差,本站概不负责,亦不负任何法律责任。如有侵权行为,请第一时间联系我们修改或删除,多谢。