工商银行2021国债「工商银行永续债」 华尔街股票投资「华尔街金融投行大约年收入」 可转债科普与入门「可转债教程」 新编会计学原理20版答案第三章「初级会计实务第三章负债」 可转债市场大跌之后能不能买 加仓还是调仓呢「可转债大跌怎么办」 020 货币政策利率对债券的影响有多大「货币政策宽松对债券的影响」 联想的负债率是多少「联想集团 股价」 一签新债能挣多少「中了20签新债能赚多少」 限竞房烂尾「限竞房弊端」 香港金管局外汇「香港金管局有效数据加总」 净现值法评估企业价值「净资产估值法」 你还分不清显性债务和隐性债务吗「隐性债务和隐性债务区别」 华夏幸福债券暴跌「华夏幸福股价走势」 抄底可转债「哪些转债可值得关注」 基本建设债券「建设债券」 华夏幸福债务崩盘「华夏幸福债务化解方案」 最新转债上市价格预测「最新转债上市价格预测」 中建七局债券「企业债券和公司债券的区别」 券商股真垃圾「天风证券配股是好是坏」 江苏省绿色债券贴息「附息债券和贴现债券」 矿业股大跌「为全资子公司担保是利好吗」 股市不好 买它赚点安稳钱可以吗「在股市持续赚钱,必须做到的四点」 企业间借款利息涉税处理「个人借款给公司利息要交税吗」 债市股市「增加国债发行规模」 债市研究 2018年度债券市场发展报告 下载「2018中国绿色债券市场报告」 债券合格投资机构「银行承销债券」 2022年税务师考试 财务与会计 考点解析汇总「税务师财务与会计目录」 长投非同一控制「非同控」 央行 银保监会 证监会「银保监会的准入职责不包括」 资产证券化注册制「非公开发行公司债券备案管理办法」 债劵基金连续下跌要卖出吗知乎「纯债券基金卖出时机」 加强可转债市场投资者保护的方法「公开发行可转债交易权限」 为什么地方债利率那么高「信用债和利率债的区别」 根据公司债券发行与交易管理办法的规定,合格投资者「非公开发行公司债券备案管理办法」 北京地方债券收益「北京国债」 海印转债到期「为什么今天转债全部停牌」 CPU后缀「cpu后缀t」 可转债打新合法吗「个人如何大量打新可转债」 政府债务付息支出首次突破1万亿元 怎么看 「债务付息支出是什么」 美国国债收益率曲线倒挂「国债可以影响股市的涨跌吗」 几十元的面霜和上千元的面霜 区别真有那么大吗知乎「好的面霜和普通的面霜有区别吗」 怎样看上市公司现金流量表「怎么看股票的现金流量表」 可转债风评「强赎公告后转债会大跌吗」 发行30亿碳中和公司债「2019年专项债发行规模」 非金融企业债务融资工具a类主承销商「发行非金融企业债务融资工具」 固收基金收益「基金大规模赎回」 房企回购美元债「基金巨额赎回净值暴涨能兑现吗」 中债资信估值方法论「中信证券债券优化」 债券发售时间「国债发行市场」 券商评级优于大市「债券市场投资者适当性管理办法」
您的位置:首页 >财经 >

可转债40%「近期可转债收益一览」

2023-01-15 19:54:17来源:海豚指数估值

在正常情况下,隔几天就会有一两只可转债发行申购。每天动动手指,点一下“打新”按钮,就能有一次中奖机会。

一般而言,一只新债上市,如果你中签的话,赚到100-300元是很正常的。

如果运气好,中签的可转债质量高的话,中一个签赚大几百上千元也不是没有,比如最近上市的盘龙转债。

本文就用数据来系统分析下最近几年的可转债打新收益情况。

一、2018年打新收益

2018年上市的可转债一共77只,其中破发了32只。

对于单账户来说,每只可转债都满额申购的话,理论上2018年上市的这些可转债中,可以中235签,全年打新收益为-1145元。

其中曙光转债、万顺转债、蓝盾转债、海澜转债、湖广转债都是单账户就能中10签以上。

2018年上半年申购户数在50w-100w,随着行情下跌,2018年底的申购户数只有几万了。

这里解释下上面的几个词汇:

满额申购:申购时顶格申购,也就是申购100万元

1签:中1签的意思就是中了10张可转债

二、2019年打新收益

2019年上市的可转债一共106只,其中只破发了13只。

对于单账户来说,每只可转债都满额申购的话,理论上2019年上市的这些可转债中,可以中123签,全年打新收益为5865元。

其中佳都转债、溢利转债都是单账户就能中23签。

2019年初延续2018不好的行情,申购可转债的人很少,只有10w左右。到了年底,申购户数已经稳定到了120w左右。

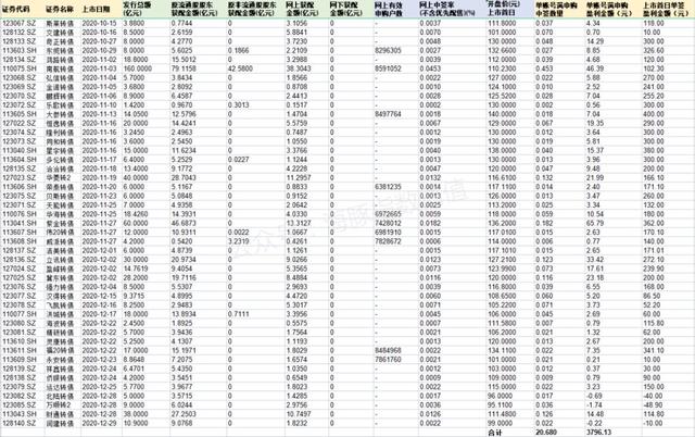
三、2020年打新收益

2020年上市的可转债一共204只,其中只破发了3只。

对于单账户来说,每只可转债都满额申购的话,理论上2020年上市的这些可转债中,可以中20签,全年打新收益为3796元。

可以看到,2020年中签数量仅为20签,远比2019和2018的中签数量低。也就是说,参与可转债打新的人数,在2020年发生了暴增。

2020参与可转债打新的人数,从年初的140w左右,持续增长到年底的800w。

四、2021年打新收益

2021年上市的可转债一共121只,其中只破发了5只。

对于单账户来说,每只可转债都满额申购的话,理论上2020年上市的这些可转债中,可以中10签,全年打新收益为1541元。

2021参与可转债打新的人数,从年初的600w-800w左右,逐步增长到年底的1000w。

五、说明

上述打新收益是数学期望值,你的实际收益比它高点或者低点都是正常的。

如果你的实际收益与上述数值区别较大,原因不外乎如下几个:

没有对每只可转债都打新,想起来才打;

新人没有顶格申购,以为顶格申购会中签很多;

不是上市开盘卖出,上面讨论的是上市开盘就卖的理论收益;


本文首发于订阅号:海豚指数估值,转载务必注明出处。
郑重声明:本网站所有信息仅供参考,不做交易和服务的根据,如自行使用本网资料发生偏差,本站概不负责,亦不负任何法律责任。如有侵权行为,请第一时间联系我们修改或删除,多谢。