可转债教程「可转债系统认知手册」 购买城投债的投资者「最新的投资项目」 云掌财经是做什么的「股票理财靠谱吗」 国信鼎富投资基金「实习 钟鼎创投 国金基金 民生证券 国信证券等」 兴业银行首张绿色金融债券「兴业银行国债」 自2019年1月21日起,延长债券质押式回购交易时间至( )「债券质押式协议回购」 股票入门基础知识 除了炒股 证券账户还能干啥 「证券小白入门」 质押率90%「质押多少股票才算是高质押」 韶能股份大股东「韶能股份重组」 联洋智能控股票「港湾申购股票怎么样」 美联储缩减购债对股市影响「美联储缩债是利好还是利空」 地产资管界「房地产资产重组」 关联方担保涉及到的债资比利息扣除问题包括「关联方借款所得税扣除」 外贸业务中 与银行有关的词汇有哪些「外贸用哪些专用词汇」 三分钟搞懂可转债「可转债 知乎」 今天基金操作「新基金购买技巧」 小米发债 10亿「打新债首投最低多少」 政信金融知识 基金与股票 债券的差异分析「证券投资基金股票债券的异同」 欧洲央行QE「6个月试用期延长」 欧央行在2019年11月重启QE,同时美联储「美元流动性收紧」 中国银行在德国的核心竞争力「德国国家发展银行事件」 比尔盖茨捐款500万美元「比尔盖茨捐赠超1000亿美元」 恒大集团申请债务重组「恒大美元债重组」 幸福家庭的资产配置感悟「小家庭怎么理财过日子」 银信转债投资价值分析「中信银行可转债」 比尔盖茨基金会受益人「比尔盖茨最多持有微软股份」 2020债券收益率「国债019547」 人民银行 债券市场有力支持实体经济发展吗「央行公开市场业务」 中国在金融海啸中的收获和体会「你收获了什么」 降息对美债的影响「降息受益板块」 2019年甘肃省固定资产投资「突出助力经济发展和拉动市场内需」 欧元美元点差「欧元美元接近平价 欧盟不祥之兆 」 股民沉浮记「股市风云录」 星帅转债转股价「星帅尔配售可转债」 债基最高收益「债券基金长期持有一定会赚钱吗」 恒大 债券 利率「债券提前兑付」 短债基金推荐「优秀的短债基金」 万科郁亮回应恒大事件「恒大迎来重大利好」 疫情下全球产业链「疫情后诸多国家的产业链」 哪家信托打破了刚兑「怎样选信托产品」 债券上市首日估值「基金募集超过募集规模」 最牛的债券「纯债债券基金排行」 10月社融增速「7月社融增速」 债券市场信用风险逐步显现「紧信用对债券市场的影响」 一只QDII基金拟投资美国政府债券「银行间债券指数」 银行发行的二级资本债券「商业银行二级资本债」 非同一控制下长期股权投资初始计量「长期股权投资初始计量和后续计量」 兴业基金兴全基金「兴全基金和兴业全球基金」 基金投资常见的20个问题「基金常见问题」 熊猫债发行管理办法「熊猫债发行主体」
您的位置:首页 >新闻资讯 >

可转债教程「可转债系统认知手册」

2022-12-17 09:03:46来源:地产资管网

作者:国君固收覃汉团队

来源:债市覃谈

转债基本概念介绍:可转换债券指的是持有人可将债券转换成公司的普通股票的债券,发行需经过董事会预案、股东大会通过、发审委审核、证监会核准等环节,对发行人要求较高。目前多数可转债最终以转股实现退出。可转债信用申购等相关政策值得关注,对投资者和发行人而言,可转债投资兼具优势与劣势。

定价方式:可转债的定价方式包括相对定价和绝对定价。主流的定价方式包括B-S公式法、二叉树法、LSM法。

认识转债的主要分析指标。股性分析指标主要为平价与转股溢价率,债性分析指标为纯债溢价率与到期收益率。如果根据平价把转债划分为五档,通过历史数据分析,当前平价80元以下转债对应的YTM(2.93%)高于历史均值(1.23%),80-90元转债对应的YTM(2.03%)高于历史均值(0.51%),平价90-100及100-110元转债对应的转股溢价率低于历史均值,平价110及以上转债对应的转股溢价率(0.06%)高于历史均值(-1.00%)。

可转债兼具债性和股性。转债的收益来源包括利息收益、交易收益以及转股收益,但相比普通债券,转债的利息比较低。动态来看,转债的价格驱动因素包括正股、债底、估值以及条款博弈,债底主要起到保护作用,正股上涨一般可以带动转债上涨,估值的影响因素主要有股市表现、转债市场供需和机会成本等。条款博弈机会主要来自下修、回售和强赎条款。

不同的投资场景下,投资者可以关注不同的指标。比如牛市中可以关注正股和估值驱动,熊市中考虑下修博弈及债底支撑。目前转债估值回到了历史中位数水平,整体价格不高。

转债市场快速扩容,市场需求火热。信用申购推行以来,转债市场快速扩容,当前转债余额超过3000亿元,近一年待发行转债规模超过3660亿元,行业分布更加多元化,低评级转债占比提升,网下发行经历了2017年的谷底之后再次占据主流。同时转债需求火爆,今年以来中签率明显下降,转债的投资者群体也更加丰富。

正文

1.转债基本概念介绍

1.1基本概念

1)什么是可转债?可转换债券是债券持有人可按照发行时约定的价格将债券转换成公司的普通股票的债券。债券持有人可以选择继续持有债券,直到偿还期满时收取本金和利息,或者在流通市场出售变现。如果持有人看好发债公司股票增值潜力,在进入转股期之后可以行使转换权,按照预定转股价将债券转换成为股票,发债公司不得拒绝。该债券利率一般低于普通公司的债券利率,企业发行可转换债券可以降低筹资成本。

2)可转债的发行条件是什么?2006年,为持续完善可转债市场的制度,证监会颁布了《上市公司证券发行管理办法》,该部法规也是我国目前规范可转债发行的主要文件。根据《上市公司证券发行管理办法》,可转债的发行门槛明显高于非公开发行股票的发行门槛。根据目前法规要求,主板、中小板和创业板对于可转债的发行要求存在较大区别。总体来说,相对主板和中小板,创业板的盈利能力要求相对较低,但对资产负债率有强制性要求。

可转债的发行流程。可转债发行首先经过董事会预案、股东大会预告、发审委审核、证监会核准,之后依次为公司发布发行公告、优先配售股权登记日,再过一个交易日为优先配售、网上及网下申购日,最后为上市日。一般而言,从上市预案到上市完成,一般需要6-10个月。但是随着行情涨跌与政策变动,该过程时长会压缩或延长。

3)主要发行条款:可转债的发行要素主要有发行规模、发行期限(多数为5年或6年)、发行价格(面值发行)、发行方式(优先配售、网上申购、网下申购等)、票面利率(多为递进式利率,每年付息)、担保事项、主体和信用评级、初始转股价格、转股价修正条款、赎回条款、回售条款等,下修、赎回和回售条款中通常也会规定触发条件。

4)为什么存在条款博弈?可转债价值=债券价值+股票看涨期权。股票看涨期权又可以分解为:可转股(投资者的期权),可赎回条款(公司的期权),可回售(投资者的期权),向下修正转股价(公司的期权),修正条款效力较弱,回售和赎回条款效力较强。

向下修正条款与回售条款

向下修正条款是对发行人的保护,可以避免回售压力;而有条件回售条款则是对投资人的保护,可以“迫使”发行人为避免回售而下修转股价格或推动股价上涨,两者相辅相成。为发行人与投资人的博弈创造机会。

下修条款的要素:

1)一般的转股价调整条款:发行可转换公司债券后,因配股、增发、送股、派息、分立及其他原因引起上市公司股份变动的,应当同时调整转股价格,调整的公式和股票二级市场股价除权公式是一致的。

2)证监会对修正幅度和修正程序的规定:转股价格修正方案须由公司董事会提交公司股东大会表决,且须经出席会议的股东所持表决权的三分之二以上同意。修正后的转股价格不低于股东大会召开日前二十个交易日该公司股票交易均价和前一交易日的均价。

3)转股价格向下修正条款的要素:修正期,修正触发比例(触发价格),最大区间,达到区间,每年(付息年度)修正次数。

回售条款的要素:

1)回售价格:回售价格将对可转债的纯债券价值有较大的影响。如公司希望持有人转股,可以设置较低的回售价格。

2)回售保护期起始日:多数转债的回售开始时间都较转股开始时间晚,主要是避免持有人过早回售,给发行人的资金运转带来困难。

3)触发价格:回售触发条件中最重要是触发价格,触发价格越低越不容易出现回售,越高则越有可能由发行人承担收回可转债的义务。

强赎条款

强赎条款又称提前赎回条款,是给转债发行人回购未转股部分转债的选择权。该条款越严苛对投资者越有利,希望转债转股的发行人一般将该条款设计得较宽泛,一般通过赎回开始时间和赎回触发价格进行调整。赎回开始时间越晚、触发价格越高,可转债的股权价值就越大。

提前赎回条款是发行人为了保护公司股东的利益,促使转债加速转股而设置的条款。一旦公司发出赎回公告,转债的最后持有者必须在转股或登记赎回两者之中作出选择。由于此时的转股价值会明显高于赎回价格,理性的投资者都会选择转股,所以实质上这就是一种强制转股条款。对于转债投资者来说,赎回条款意味着限定了转债投资的最高收益。

提前赎回条款的要素

1)有效期:一般是指可转债从发行后的某段时间内,发行人才有可能有权行使赎回权,这段时间我们称之为赎回条款有效期,其余时间则称为赎回条款保护期。赎回条款保护期越长,转债的时间价值越高,对投资者也就越有利。

2)标的股票股价触发条件:在标的股票的价格发生某种变化时,发行公司可以行使赎回权利,一般表述为“公司股价连续m个交易日中有n个交易日达到转股价格某个比例”(其中m≥n,m可称为最大区间,n为达到时间)。

3)赎回价格:赎回价格一般为可转债面值的某一比例,并且说明是包含当年利息。赎回价格将影响可转债的纯债价值。较低的赎回价格,远不够补偿持有人的机会成本,较低赎回价格会使持有人更倾向于转股。反之亦然。

4)每年发行人可行使赎回权的次数:一般一年一次,且规定每个计息年度内首次不触发提前赎回的本年度将不再提前赎回。

4)可转债交易规则:可转债实行T 0交易,其委托、交易、托管、转托管、行情揭示、交易时间参照A股办理。可转债在转换期结束前的十个交易日终止交易,终止交易前一周交易所予以公告。可以转托管,参照A股规则。

1.2转债退出方式

多数转债以转股实现退出。可转债的退出方式主要有四种:转股、提前赎回、回售、到期兑付。选取2000年以来已退市的137只转债进行分析,从退出方式来看,公司作为债务人为了避免回售压力或到期兑付,一般采用下修或强赎促进转股,因此绝大多数转债以转股的形式实现退出。从转股比例来看,转股比例大于99%的占比67.9%,大于90%的累计占比为79.3%。

转股比例90%以下的可转债中,吉视赎回比例较高,创业、双良回售比例较高,而澄星回售、到期比例均较高。

为什么会出现发布强赎后转股效果不理想?分析以赎回退出方式占比较高的吉视转债。吉视转债于2015年3月进入转股期,之后正股价格一路拉涨达到提前赎回条件。公司于2015年6月1日发布提前赎回公告,赎回登记日为2015年7月7日,赎回价格100.42元。公告日转债转股溢价率为25.88%,持有转债比转股收益空间更大,投资者不愿转股。但自6月上旬开始,股价下跌,直到6月下旬转股溢价率走负,投资者陆续开始转股,最终到7月7日,吉视转债以38.07%的高赎回比例退出。

1.3相关政策

1)信用申购

2017年9月8日,证监会正式发布修订后的《证券发行与承销管理办法》,将可转债和可交债的发行方式由资金申购改为信用申购。网上投资者在申购可转债时无需缴付申购资金,网下投资者单一账户只需缴纳不超过50万元的保证金,待获得配售时再按实际获配金额缴款。资金申购方式容易产生大规模资金冻结,对货币市场和债券市场造成一定的扰动,在信用申购规则下,转债打新的机会成本更低。另外,网上申购上限有所下调,从5000万降至100万,打新参与者结构呈散户化趋势。

2)网下申购逐渐规范

伴随着转债市场逐渐成熟,可转债也日益受到机构投资者的追捧,机构往往通过多个账户进行申购,网下打新的公平性失衡,极端情况下容易出现爆仓风险。2019年3月25日,证监会在可转债发行承销问答中指出,同一网下投资者的每个配售对象参与可转债网下申购只能使用一个证券账户。今年发行的部分转债也对网下申购进行了规范,例如绝味转债和贵广转债在发行公告中规定“机构投资者每个产品参与本次网下申购只能使用一个资金账户”,亨通光电和迪森股份也加强了对投资者的资格审查,在发行公告中指出“投资者应遵守行业监管要求,申购金额不得超过相应的资产规模或资金规模。主承销商发现投资者不遵守行业监管要求,超过相应资产规模或资金规模申购的,将有权认定该投资者的申购无效”。

网下申购监管加强有利于加强网下打新的公平性,以往机构投资者通过多个账户进行申购,而公募和保险机构受到账户数量和单户资产规模的限制,申购结果相对较差。加强监管后无效申购账户减少,单户中签率有望提升。另外,监管加强也有助于避免出现机构顶格申购,中签率过高导致无法缴足后续款项,出现大面积弃购或者爆仓风险。

3)定向可转债

2014年6月,证监会修订发布《上市公司重大资产重组管理办法》,规定了上市公司可以向特定对象发行可转债用于购买资产或者与其他公司合并。2019年1月15日,证监会发布《证监会试点定向可转债并购支持上市公司发展》,表明将积极推进以定向可转债作为并购重组交易支付工具的试点。对上市公司而言,定向可转债有利于增加并购交易谈判弹性,为交易提供更为灵活的利益博弈机制,有利于有效缓解上市公司现金压力及大股东股权稀释风险,丰富并购重组融资渠道。对于被收购方而言,可转债结合了债性和期权的特征,可以做到“下有保底、上有期权”,有助于评估收购方资质,在减持限制上更加宽松,定向可转债作为非标准化的产品,条款设计方面更加灵活,有利于保障利益。

4)发行转债用于回购股份

2018年11月,证监会、财政部、国资委联合发布《关于支持上市公司回购股份的意见》,鼓励上市公司通过发行优先股、可转债等多种方式为回购股份筹集资金。《意见》发布后,东旭光电、齐翔腾达、道道全等多家公司披露的可转债预案中募资用途中出现了回购股份。上市公司可以通过回购股份来提升公司的每股收益,提升估值。通过发行可转债回购股份虽然前期会增加公司的债务负担,但是可以用回购的股份转股,减轻股份摊薄压力和财务负担。

而从2019年最新情况来看,部分媒体报道称“监管层已明确表示不支持通过可转债募集的资金用于股票回购,涉及股份回购的项目或者更换或者删除,之后才会被再次审核”,发行转债用于回购股份或将受阻。2019年5月15日,东方时尚公布的可转债发行预案修订稿中将募资用途中的“股份回购项目”删除。

5)转债与定增

2017年2月17日,证监会修订发布《上市公司非公开发行股票实施细则》以及《发行监管问答——关于引导规范上市公司融资行为的监管要求》,规定定价基准日为本次非公开发行股票发行期的首日;上市公司申请增发、配股、非公开发行股票的,本次发行董事会决议日距离前次募集资金到位日原则上不得少于18个月;上市公司申请非公开发行股票的,拟发行的股份数量不得超过本次发行前总股本的20%。《实施细则》对定增实施了更加严格的管理,导致定增难度加大,有利于推动可转债发行。2018年11月9日,《发行监管问答——关于引导规范上市公司融资行为的监管要求(修订版)》则将融资时间间隔要求放宽,前次募集资金基本使用完毕或募集资金投向未发生变更且按计划投入的,可不受18个月限制,但相应间隔原则上不得少于6个月;通过发行转债等方式募集资金的补充流动资金和偿还债务的比例不得超过募集资金总额的30%。该规定的出台有可能导致转债供给减少,上市公司优选转债以避免转债的财务费用,同时存量优质券稀缺性增加,估值抬升,但转债供给减少后也会导致择券空间减小,转债需求会有一定影响。

1.4转债的优势和劣势

对于发行人而言,转债的优势主要包括:

1)释放积极信号:可转债对发行人的财务要求更高,相当于向市场释放了积极信号;2)对原股东的摊薄效应延后:转债发行时一般设置优先配售缓解,原股东可以优先认购,通过持有转债可以避免股权被稀释。此外转债从发行到开始转股一般有六个月的时间,且转股具有渐进性,可以延迟对原股东股份的摊薄;3)发行条款灵活,发行成本低:发行人可以通过设计转债发行条款,包括下修、赎回、回售等,提高投资者的打新热情,从而提高发行成功率。转债的票面利率通常低于同等评级的普通债券,发行人利息支付成本比较低。

转债的劣势主要包括:

1)条款设计比较复杂:转债条款多样,涉及期限、票面利率等一般条款,以及赎回、修正、回售等特殊条款,发行人理解有难度,且发行条款的设置合理与否对中签率和投资者的投资意愿也有比较大的影响;2)发行门槛高:《证券法》规定上市公司发行转债的规模不高于净资产的40%,对公司的财务指标要求也比较高;3)转股的不确定性:对于急需补充权益资本的公司来说,可转债转股需要时间且具有不确定性;4)募资用途限制更严格:转债的募集资金多用于公司项目建设和补充流动资金,公司债等用途约束相对更少。

对于投资者而言,转债的优势主要包括:

1)对于债券投资者:转债是债券投资者间接参与股市、博取超额收益的重要途径,相比普通债券,转债的流动性和上涨弹性更好,具有一定的交易属性;2)对于权益投资者:持有转债可以分享股市收益,同时转债拥有质押回购融资功能,可以放大收益。相比股票,转债采取T 0交易,没有涨跌停板限制,交易规则更加灵活。另外,转债的内嵌期权可以使投资者利用条款博弈获得超额收益;3)转债具有“进可攻、退可守”的特性:股市下跌时有债底保护,股市上涨时也可以分享正股收益,如果发行人的促转股意愿和能力比较强,对于投资者来说是很好的配置品种。

转债的劣势主要包括:

1)投资风险相对普通债券更高:转债价格往往跟随正股价格波动,投资者需要承担股价波动的风险;2)利息收益比较低:股价下跌到转换价格以下时,转债持有者相当于持有普通债券,但是票面利率低于普通债券,投资者会有利息损失;3)最高收益受限:正股持续上涨触发赎回条款时,发行人有权利以某一价格赎回债券,提前赎回限定了投资者的最高收益。

投资者参与可转债投资的方式主要有三种:1)直接申购:转债的发行面值为100元,申购最小单位为10张(1000元),网下申购上限通常为1万张(100万元);2)通过提前购买正股获得优先配售权:转债发行时一般会设置原股东优先配售环节,投资者可以在股权登记日之前买入正股,在配售日行使配售权获得可转债;3)在二级市场通过股东账户买卖可转债。

2.定价方式

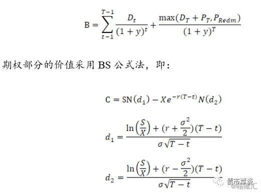
可转债的定价方式包括相对定价和绝对定价。相对定价方法可以从平价、规模、正股基本面等方面寻找类似标的,结合当前市场环境以及转债的条款设置、正股基本面等因素进行调整,估算合理的价格区间。绝对定价方法主要关注可转债的现金流,可以将转债的价值简单拆分为纯债价值 期权价值,主流的定价方式包括B-S公式法、二叉树法、LSM法。

1)B-S公式法

B-S公式法将转债拆分为纯债价值和看涨期权,纯债价值部分使用贴现现金流方法计算,将每年的利息支付视作现金流入,债券终值为面值加上当期利息,或者是赎回价格,取两者中较大的,即:

其中,C为期权价值,S为当前股票价格,X为转股价格,r为无风险利率,T为债券期限,sigma为股票的波动率。

B-S公式法计算相对简单,但是只适用于欧式期权,而可转债的转股、赎回等条款实质上属于美式期权,实行时间上具有不确定性。此外,各个条款并非独立存在,B-S公式法没有考虑期权之间的相互作用。

2)二叉树法

二叉树法考虑了转债的美式期权特征以及条款之间的相互作用,具体思路是假设风险中性环境,按照年份将转债划分为不同的节点,并根据边界条件确定每个节点上转债的价值,最后将节点上的价值折现到当期,从而得到转债的价值。边界条件包括到期日边界条件(转股还是等待还本付息)、转换的边界条件(何时转股)、赎回和回售的边界条件(触发赎回条款时,选择转股还是赎回;触发回售条款时,选择回售还是继续持有)。

3)LSM法

LSM法即最小二乘蒙特卡罗模拟法,结合了现金流贴现、蒙特卡罗模拟法、最小二乘回归法,同时考虑了各条款之间的相互影响,相比之下该定价方式更加合理。具体思路是先通过正向模拟出股价变动,再逆向倒退,确定所有路径上的最优提前履约策略,当实行期权的价值高于纯债价值时,投资者会选择实行期权,反之则继续持有可转债,由此确定各个时点上的价值,用二叉树方法求得期权价值。

LSM方法虽然更加合理,但是计算比较复杂,时效性存在问题,在应用上也存在一定局限。

上述三种定价方式都基于“股价随机游走”、“可转债的价格可通过对冲套利达到均衡”两个假设,但是我国市场目前卖空机制不健全,市场的弱势有效存在疑问,因此三种定价方式虽然有一定的参考价值,但在应用层面均存在一定不足。

3.认识转债的主要分析指标

可转债分析主要有股性、债性、条款博弈三个方面。可转换债券是债券持有人可按照发行时约定的价格将债券转换成公司的普通股票的债券,兼具债性和股性特征,其分析维度主要有三个方面:股性、债性和条款博弈。总体而言,股性最为重要,直接决定了转债相对正股的弹性,也是投资转债的最主要收益来源;债性作为防御性指标参考意义相对次要,但债底提供的安全垫使得转债呈现较强的抗跌性;条款博弈则需要针对不同个券进行具体分析。

下文,我们首先试探讨下转债的两大主要分析指标,转债的股性以及债性。

1)转债分析的主要指标

股性分析指标——转股溢价率。转债市场价格超出转债平价的比例,其中转债平价为转债按照转股价格转成股票后的价值。

转股溢价率越小,转债股性越强,转债价格波动幅度与正股涨跌幅越接近;转股溢价率越大,正股价格对转债价格的支撑作用越小,转债上涨空间比正股小,下跌空间比正股大

转股溢价率 =(转债价格-转股价值)/转股价值

其中,转股价值又叫平价水平,指转债按现有价格转股后的价值,即

转股价值 =100×股价/转股价

债性分析指标——纯债溢价率。转债市场价格超出转债底价的比例,其中转债底价是将转债当作纯债,按照市场收益率贴现转债未来现金流之后的价值。

转债债性越强,债底支撑作用越大,转债下跌空间越小,投资风险越小;纯债溢价率越大,债性越弱,转债投资价值就更多取决于正股的表现

纯债溢价率 =(转债价格-转债底价)/转债底价

其中,转债底价为持有转债的未来现金流贴现后的现值,即

转债底价 =(转债票息 到期赎回价格 补偿利率)/贴现率

债性的另一参考指标:到期收益率。投资者以当前市场价格买入转债并持有到期所获得的年均收益率,是将转债单纯看作债券来计算的指标。到期收益率与纯债溢价率一样,是衡量转债债性的指标,到期收益率越大,转债债性越强,投资风险越小。当到期收益率为正时,表明转债未来的现金流之和大于当前转债价格,投资者此时买入持有到期可以保本。

其他分析指标:隐含波动率。可转债所含看涨期权的隐含波动率。这种情况下,通常将可转债看作纯债与看涨期权的简单综合体,其中纯债部分的价值就是转债底价,期权部分的价格是转债市场价格减去转债底价,这样隐含波动率可以用BS公式计算得出。理论上,隐含波动率越大,转股期权价值越高。该指标基本只是作一个参考,国内实用性不高。

了解了主要的分析指标的定义及公式之后,我们有必要进行纵向比较分析,通过对历史数据的回溯更为直观地了解以上分析指标的作用以及其背后的意义。

2)主要分析指标的特征及当前所处位置

当前可转债平价平均水平位于历史均值以下。经统计,自2006年以来所有平价可转债平价水平的算术平均数为113.96元。其中,所有平均可转债平价水平的最大值为346.31元,出现在2007年9月;最小值为66.26元,出现在2008年11月。截至2019年7月4日,当前平均可转债平价水平为96.65元,处于历史平均水平之下

按照可转债个券的平价水平将其划分为五档,分别是平价在80元以下、80-90元、90-100元、100-110元和110及以上。划分平价的目的在于,一般而言低平价更侧重其债性分析,高平价更注重其股性分析,而中等平价可两者兼顾。

整体平价水平的高低与转股溢价率基本成反比。整体上平价水平的高低与转股溢价率基本成反比。经统计,自2006年以来,平价80元以下对应的转股溢价率均值为70.63%,目前(2019年7月4日)为55.09%;平价80-90元对应的转股溢价率均值为28.57%,目前为22.70%;平价90-100元对应的转股溢价率均值为20.71%,目前为12.79%;平价100-110元对应的转股溢价率均值为14.32%,目前为6.99%;平价110元及以上对应的转股溢价率均值为-1.00%,目前为0.06%。

整体平价水平的高低与纯债溢价率基本成正比。经统计,自2006年以来,平价80元以下对应的纯债溢价率均值为14.32%,目前(2019年7月4日)为9.52%;平价80-90元对应的纯债溢价率均值为18.55%,目前为17.29%;平价90-100元对应的纯债溢价率均值为25.13%,目前为20.54%;平价100-110元对应的纯债溢价率均值为31.35%,目前为25.71%;平价110元及以上对应的纯债溢价率均值为48.84%,目前为49.28%。

整体平价水平的高低与YTM基本成反比。经统计,自2006年以来,平价80元以下对应的YTM均值为1.23%,目前(2019年7月4日)为2.93%;平价80-90元对应的YTM均值为0.51%,目前为2.03%;平价90-100元对应的YTM均值为-0.75%,目前为1.41%;平价100-110元对应的YTM均值为-1.93%,目前为0.16%;平价110元及以上对应的YTM均值为-6.01%,目前为-2.58%。

目前不同平价可转债的估值水平处于什么位置?对于低平价转债,主要看YTM及纯债溢价率。目前(2019年7月4日)平价80元以下转债对应的YTM(2.93%)高于历史YTM(1.23%),纯债溢价率(9.52%)低于历史纯债溢价率(14.32%);80-90元转债对应的YTM(2.03%)高于历史YTM(0.51%),纯债溢价率(17.29%)低于历史纯债溢价率(18.55%)。以纯债溢价率为主要指标,低平价转债估值水平低于历史均值。

对于中高平价转债,主要看其转股溢价率。目前平价90-100元转债对应的转股溢价率(12.79%)低于历史均值(20.71%),平价100-110元转债对应的转股溢价率(6.99%)低于历史均值(14.32%),而目前平价110及以上转债对应的转股溢价率(0.06%)则高于历史均值(-1.00%)。因此,目前高平价转债估值水平高于历史均值,而中等平价则低于均值。

4.转债价格驱动因素主要有正股、债底、估值及条款博弈

可转债兼具债性和股性,收益来源主要包括利息收益和交易的资本利得。静态来看,可转债的价值包括债底价值和期权价值。可转债未转股时可视作持有债券,偿还期满可以获得本金和利息,也可以在流通市场卖出变现,获得由价格上涨带来的资本利得。不过由于期权价值的存在,转债的票面利率通常低于相同评级的普通债券。期权价值包括转股权、赎回权、回售权、转股价下修等。转债持有人实行转股权时,可以按当时的转股比例持有对应正股的股票,未来可获得正股上涨带来的收益。投资者也可以通过赎回、回售、下修等条款博弈获得收益。

动态来看,转债价格驱动因素包括正股、债底、估值以及条款博弈。

1)正股驱动:未转股时,正股上涨通常会带动转债价格上涨,进入转股期后,转债持有人可以实行转股权,持有标的股票,因此正股基本面是最重要的驱动因素。从上证综指和中证转债指数的表现来看,两者走势基本保持一致,中证转债指数的波动性略小于上证综指。从转债绝对价格来看,股市上涨时,高价券的占比随之走高,低价券则逐渐消亡。从06年至07年、14年至15年两波牛市数据来看,绝对价格在130元以上的转债占比提升,06年至07年90元以下转债占比也有提升,主要原因是新券上市时破发,14年至15年期间已经几乎没有了90元以下的转债。2019年以来,转债市场整体价格有所抬升,高价券占比也较2018年底明显提升。截至2019年7月4日,市场中90元以下的转债占比为0,130元以上的转债占比为7%。除了正股基本面以外,发行人的促转股能力和意愿也值得关注,发行人促转股能力和意愿比较强时,转债的弹性更高。

2)债底驱动:债底指的是将转债视作纯债时体现的价值,更多的是为转债提供安全性,对转债价格的影响有限。转债发行时初始平价一般接近或者高于面值,部分转债出现破发现象,但仍旧距离债底较远,因此转债价格对债底变化不太敏感。另外,相比于纯债市场,转债的票面利息一般比较低,收益有限。一般而言,债底越高,转债的配置需求越强。

3)估值驱动:估值驱动是影响转债价格的的重要因素,估值指标主要包括转债绝对价格、转股溢价率、到期收益率、纯债溢价率、隐含波动率等。转债绝对价格比较简单直观,一般低价券的风险收益比较高,向下有债底保护,向上有足够的上涨空间。

转债估值的影响因素主要有股市表现、转债市场供需情况、机会成本等。

股市表现方面:从历史数据可以看出,纯债溢价率与上证综指的走势在时间和方向上都比较一致,一般纯债溢价率越大,债性越弱,转债投资价值就更多取决于正股的表现。但2016年和2017年上证综指上涨期间,纯债溢价率并未随之上涨,可能与15年大量转债赎回,存量转债数量变少有关。转股溢价率则与上证综指走势相反,且波动幅度较小。一般转股溢价率越小,代表股性越强,转债价格波动幅度与正股涨跌幅越接近,正股涨势较强时,转股溢价率压缩,投资者转股意愿比较高。

供需方面:当转债存量规模较小时,大规模转债上市会打破转债的稀缺性,可能造成存量转债的估值压缩。例如,2011年2月23日,中国石化发行230亿石化转债,8月24日进入转股期。同年8月28日,中国石化公告发行第二期300亿元可转债预案。在如此短的期限内,一家公司再度发布转债预案,完全超出市场预期,加之股市正处于调整状态,市场环境较差,此次供给冲击对转债市场影响较大,估值明显压缩。转债市场平均转股溢价率和平均纯债溢价率均出现下移。

2013年7月10日中国石化公告石化二期转债获得证监会核准,转债估值再次受到冲击。核准公告后,转债市场平均转股溢价率再度下行。尤其是石化转债一期受冲击较大,发行预案公告后,石化转债的转股溢价率由前一日的32.54%降至24.25%,纯债溢价率由20.19%跌至13.35%,证监会核准公告后,石化转债转股溢价率由前一日的21.12%跌至14.19%。

目前转债市场的主要投资者包括基金、保险、券商自营、一般法人等。一般法人主要靠一级市场配售参与,近期保险、社保等中长期资金也在大力布局转债市场。

4)条款博弈:可转债条款博弈机会主要来自于向下修正条款、回售条款和强赎条款。

回售与下修条款:

向下修正条款是对发行人的保护,可以避免回售压力;而有条件回售条款则是对投资人的保护,可以“迫使”发行人为避免回售而下修转股价格或推动股价上涨,两者相辅相成,为发行人与投资人的博弈创造机会。

2018年转债下修原因多样,不再局限于迫于回售压力。2003年至2017年进行的55次下修中共有23例未进入条件回售期,多数转债仍是为避免回售进行下修。而18年和19年进行的34次下修中,仅江南转债在提出下修预案时已经进入回售期,其余转债均未进入,下修的原因更加多样,具体包括减小财务费用压力、大股东减持诉求、补充资本金等。一般而言,当公司面临较大财务压力或后续资金需求量大时,下修主要动机是避免回售(如:江南转债等);当大股东持有转债比例高且转债价格持续下跌时,下修主要动机是大股东减持套现诉求(如:兄弟、道氏转债等);银行类转债下修多出于补充资本金目的(如:江银转债等);当可转债相关费用加大公司财务负担时,下修动机主要是促转股(如:利欧、蓝思转债等)。

强赎条款:

强赎条款是发行人为了保护公司股东的利益,促使转债加速转股而设置的条款。一旦公司发出赎回公告,转债的最后持有者必须在转股或登记赎回两者之中作出选择,由于此时的转股价值会明显高于赎回价格,理性的投资者都会选择转股,所以实质上这就是一种强制转股条款。对于转债投资者来说,赎回条款在一定程度上限定了转债投资的最高收益。

强赎预期下转债涨,估值压缩。回顾近期成功提前赎回的两只转债,东财转债和康泰转债。东财转债于2019年3月29日触发赎回,在条款触发前一个季度左右的时间内,转债价格维持在110-130区间,而在强赎条款进程加快过程中,股价和转债价格均拉涨,同时转股溢价率逐渐压缩至0以下。最后,东财转债最高涨至193.93元。康泰转债于2019年3月20日触发赎回,条款触发前后与东财转债表现类似。

正股决定一切。能否最终触发强赎核心矛盾在于正股走势。比如07年发行的澄星转债,作为第一只“寿终正寝”的转债,不能通过主流方式(提前赎回)退市的主要原因有:(1)发行在牛市期间,初始溢价率较高;(2)正股难以出现有一定持续性的行情;(3)公司放弃了下修的机会;(4)历经大势从牛转熊的转变,转股难度更高。但核心因素仍在于正股走势,澄星股份所处化工行业周期性强,而在转债存续期化工行业整体探底,正股长期处于横盘震荡。

5.转债估值已经回到历史中位数水平

牛市中转债主要依靠正股和估值驱动。牛市中正股价格持续上涨会带动转债价格上涨,但是正股价格持续上涨则有可能触发赎回条款,此时转股溢价率与正股走势出现背离。

熊市中可以考虑债底支撑和下修博弈。熊市中转债估值压缩,在债底的保护下,转债的下跌幅度通常小于正股,此外发行人为避免回售通常会选择下修转股价,推动平价上涨,可以关注条款博弈机会。

震荡市中多可以关注转债性价比。震荡市中,转债的上涨和下跌空间均有限,这时应该更加注重转债的性价比,尽量挑选进可攻、退可守的品种。首先关注绝对价格和到期收益率(纯债溢价率)指标,贴近债底附近布局可以最大程度减少向下的风险,同时挑选转股溢价率水平不高的品种,有助于获取正股的弹性。

转债整体波动小于正股。截至2019年7月4日,近一个月涨幅为正的个券共117只,正股涨幅为正的有112只,转债涨跌幅跑赢正股的有67只,占比为40.61%,转债整体表现弱于正股。近一月转债涨跌幅在10%以上的个券包括联泰、泰晶、凯发、千禾、伟明、海环和凯龙转债,仅凯龙转债跑赢正股。

目前转债估值处于历史中位数水平。截至2019年7月4日,转债绝对价格全部在90元以上,90元至110元的转债占比最高,达到了63%,110元至130元的转债占比为30%,130元以上的转债占比为7%。转股溢价率和纯债溢价率目前处于历史中位数水平,平价在90元以下的转债转股溢价率有所下降,平价在90元以上的转债转股溢价率则较平稳,平价110元以上的转债纯债溢价率呈上涨趋势,平价110元以下的转债纯债溢价率则呈下滑趋势。

6.转债市场仍有四千亿供给,市场需求火热

转债市场快速扩容。2003年至2016年,转债发行数量和规模都比较小,每年的发行数量基本为个位数,合计发行规模多在200亿元以下。2010年、2011年和2013年出现了大规模转债发行,2010年发行的中行转债的发行规模为400亿元,2011年发行的石化转债规模为230亿元,2013年发行的平安转债和民生转债规模分别为260亿元和200亿元。2017年之后转债的发行数量和规模均出现快速上涨,2017年和2018年转债发行数量分别为40只和67只,发行规模分别为946亿元和787亿元,截至2019年7月4日,2019年已发转债为62只,合计规模为1547.76亿元,创历年新高,转债市场呈现快速扩张趋势。

转债市场仍有四千亿待发。从近一年待发行转债情况来看,截至2019年7月4日,有11只转债已获得证监会核准,合计发行规模为673亿元,161只转债获得股东大会通过,合计规模为2592亿元,12只转债获得发审委通过,合计规模为99亿元,24家公司披露了转债发行董事会预案,合计规模为295亿元,其中容大感光为定向可转债。整体来看,当前待发行转债规模约为3660亿元,转债市场仍有很大的增长空间。从待发转债的规模分布来看,交通银行、浦发银行和中国交建的发行规模较大,分别为600亿元、500亿元和200亿元,另外东方财富、本钢板材、顺丰控股和天齐锂业的发行规模也在50亿元以上,其余多数转债的发行规模在10亿元以下。

转债行业分布更加多元化。随着转债发行数量的增加,转债对应正股所在的行业也更加丰富多元。按照Wind行业分类,2017年以前发行转债的公司主要集中在材料、公用事业、运输、资本货物四类行业。2017年发行转债的公司所在行业则扩张至14类,其中技术硬件与设备、汽车与汽车零部件、软件与服务、食品饮料、银行是增速比较明显的几大行业。从转债规模分布来看,多数转债的发行规模在10亿元以下,规模普遍较小,2019年发行的平银转债、苏银转债和中信转债规模较大,分别为260亿元、200亿元、400亿元。

低评级转债占比提升,网下发行再次占据主流。2008年及以前发行的转债评级多数为AAA级,随着投资者风险偏好的提升,2015年之后AAA级转债占比下降,AA级转债占比提升,2018年发行的凯发转债、横河转债和威帝转债首次出现了A 评级。从发行方式来看,2017年之前多数转债采用“优先配售,网上定价和网下配售”的方式发行,2017年和2018年则主要是“优先配售和上网定价方式”,2019年以来采用“优先配售,网上定价和网下配售”方式发行的转债再次占据主流。

打新市场火热,2019年以来网上网下中签率明显下降。2018年设置网下发行的转债中签率相对较高,超半数中签率在0.3%以上,佳都转债的网下中签率达到了2.35%。而在2019年发行的转债网下中签率则明显下降,多数转债的中签率在0.01%-0.03%区间。网上中签率走势类似,2018年上半年发行的转债网上中签率较低,下半年自广电转债开始网上中签率提升,湖广、海澜、万顺、曙光、蓝盾、顾家、佳都、溢利和凯龙转债的网上中签率均高于1%,2019年发行的转债网上中签率则多在0.05%以下。

转债持有人多样化,2019年券商自营和一般法人增持明显。目前转债市场参与人包括一般法人、基金、券商自营、保险、社保、年金等。此前转债投资者主要是债券型基金,现在的投资者群体壮大且更加丰富。截至2019年6月30日,公募基金持有上证转债占全部持有人比例为15.40%,较18年末相比下降2.52%,券商自营持有上证转债占比为6.68%,较18年末相比提升1.67%,一般法人持有上证转债占比为46.77%,较18年末相比提升9.54%。持仓比例变化的主要原因是一季度新上市的大规模转债大股东配售比例较高,同时券商自营的的网下打新参与较为积极,导致了公募基金转债持仓比例的下降。从可转债持有比例的排名来看,前三位分别为一般法人(46.77%)、基金(15.40%)、保险(8.00%)。

2019年一季度公募基金转债持仓市值达663亿元,环比提升44.69%。从最新公布的基金一季报来看,一季度末可转债的持仓市值达到663亿元,环比提升44.69%,同比提升59.38%。19年一季度末公募基金的转债持仓市值也创下了近两年新高。另外,从可转债持仓占比来看,19年一季度末可转债占公募基金净值比例和占总体债券投资比例分别为0.49%和0.97%,环比均大幅提高。一季度转债市场迎来了较好的投资机会,公募基金顺势提高转债配置比例。

2019年一季度转债持仓基金数量达到1859家,各类型基金均有明显增仓。随着行情的转暖,各基金大多通过增持转债来提升收益水平。截至一季末,持有转债的基金数量已经达到1859家,环比18年四季度提升了40%,持仓基金数量也创下近两年新高。同时各类型基金转债持仓额均有所提升。其中,相较于18年四季度,混合债券型二级债基增仓金额最大,为85.74亿元,灵活配置型基金和混合债券型一级基金分别增仓33.81亿元和32.59亿元。从增仓比例来看,中长期纯债型基金增仓比例最高,达73.25%,混合债券型一级债基、灵活配置性基金和混合债券型二级债基增仓比例分别为61.10%、52.98%和42.40%。

郑重声明:本网站所有信息仅供参考,不做交易和服务的根据,如自行使用本网资料发生偏差,本站概不负责,亦不负任何法律责任。如有侵权行为,请第一时间联系我们修改或删除,多谢。