定开债基绩效表现好于非定开债基吗对吗「绩效表现突出方面」 财经数据|引导房贷利率的5年LPR报价下降5个基点「lpr为什么没有1年至五年之间」 最近的货币政策「货币将走向何方」 恒生指数暂停交易「前海开源债券基金」 公募基金重磅榜单发布「中国公募基金top20」 今年专项债规模「2021年专项债投向」 最大肉签 什么时候公布「转债上市」 申请私募基金备案流程是怎么样的呀「私募投资基金备案」 股权类私募基金备案办理有什么要求及条件吗「私募基金管理公司备案条件」 俄罗斯远东战略对我国的影响「改变世界格局的战争」 可转债申购价值分析「近期可转债申购一览表」 机构信用风险偏好边际改善分析「银行风险偏好评估」 复工复产金融支持「复工复产贷款」 2021年公募基金如何选择「公募基金是什么意思」 2021年公募基金收益排行榜前十名「2019公募基金收益排行」 突曝昨日私募债违约「债基是不是不会怎么亏」 旅游度假区等级划分标准 gb/t26358 2010 「旅游度假区的分类」 兴业银行 转债「兴业银行债券」 天风证券:给予中兴通讯买入评级「广发银行穆迪评级」 如何分析筹资活动产生的现金流量「现金流量表筹资活动产生的现金流量」 可转债强制赎回是什么意思「可转债强制赎回的阀点是什么」 今天买国债逆回购算几天利息「国债逆回购怎么赚钱」 企业公司债「公司债成功发行」 上半年地方债发行「地方债40万亿」 证券公司代销基金产品「基金销售机构在实施基金销售适用性」 支持银行发展永续债「银行永续债」 国债和理财产品的区别「债券和理财产品的区别」 金观平 外资为何青睐人民币债券市场「外资流入导致人民币」 基金备选库「蚂蚁金服智能投顾与投研组」 最新承兑贴现利率「2021最新票据贴现利率」 让利中小投资者需要从基金降费开始嘛「保护投资者」 近期各银行存款利率「各大银行存款年利率」 学经济学原理的好处「经济学杠杆原理」 化解政府性债务下一步措施「财政局加强内控机制」 固收+债券「转债增强债券基金」 万科发债利率「上市公司债券利率一般多少」 中国债券市场开放「企业债投向基金」 长信富平纯债15日开放贷款「工银纯债定开几时开放」 恒大支付 8350万美元债利息「恒大一共发了多少债」 路演 杂谈 不都是从招股书上抄的吗为什么「上市路演」 卷 券 劵「券券说」 嘉实债券分红「嘉实超短债070009万份收益」 有哪些债券基金可以代替货币基金 「买货币基金和债券基金哪个好些」 中一签挣十万「平均中一签能赚多少」 经济生活易错易混知识点汇编「七年级上册英语易错知识点归纳」 牧原转债上市价格预估「牧原转债上市价格预估」 标普500指数值得买吗「标普500指数走势」 资产负债表能告诉我们什么 「资产负债表反映了什么」 b类收费标准「分级B最大可买」 好的基金组合「最强基金组合」
您的位置:首页 >新闻 >

定开债基绩效表现好于非定开债基吗对吗「绩效表现突出方面」

2022-12-31 11:02:17来源:好买研习社

通过对历年中长期纯债基金的绩效分析,可以发现定开债基相对于非定开债基在收益率表现上确实显著更好,其可能的原因是负债端相对稳定的定开债基在底层配置上可以尽可能降低流动性仓位占比,配置收益率水平更高、久期更长的债券品种。正因此,定开债基在市场调整时往往也将面临更大的波动风险。由于定开债基和非定开债基在收益和波动上的不同表现,两类基金的夏普率表现难分上下,且历年差异较大。但是,在最大回撤上,定开债基和非定开债基的差异总体上并不显著。所以,对于愿意牺牲一定流动性的投资者,定开债基或许是更合适的选择。

一般认为,定开债基得益于相对稳定的负债端,在基金流动性管理上面临的压力相对较小,基金经理可以更自主地贯彻实施自己的投资想法,将更多的仓位用于底层资产的配置,表达、验证和实现自己的投资观点和投资业绩目标,相应地降低基金在银行存单、短端利率债、短期融资券及货币基金等高流动性、低收益率资产上的投资比例,从而获得比非定开债基更高的收益。那么,定开债基是否真的在收益表现上高于非定开债基,同时,前者在波动率、最大回撤和夏普率等绩效指标上是否也具有优势,本文将以中长期纯债基金为例,就此展开分析和讨论。

一、业绩表现对比

样本选择上,我们首先剔除摊余成本法债基;其次,考虑以3个月作为债基建仓时间,剔除成立时间在2019年9月30日之后的债基,且历年样本选取时间区间为在上年9月30之后至本年9月30日之前具有完整业绩的基金;再次,为增强可比性,剔除可比区间内有可转债持仓的债基。同时,对存在多个不同份额的基金只保留一个份额。用于对比分析的绩效指标包括2015年至2020年9月30日的历年收益率、波动率、最大回撤和夏普率。从样本数据统计结果看,截至今年9月30日,在符合条件的947只基金中,规模合计2.63万亿,其中非定开债基产品共568只,规模1.40万亿,占比53.17%;定开产品则有379只,规模1.23万亿,占比46.83%。

▼样本数据中定开和非定开中长期纯债基金对应产品数量(只)

数据来源:Wind、好买基金研究中心

数据时间:2015~2020/9/30

国内债券市场自2015年以来,大致经历了两轮较为完整的牛熊周期,如果从历年债市收益率曲线形态上看,2015年和2018年属于典型的牛市,2016年和2017年为熊市,2019年和今年前三季度债市震荡较为明显。从平均结果看,业绩回报上,除2017年外,定开债基的当年表现均要好于非定开债基,对应超额收益分别为112.49BP、101.38BP、-15.01BP、45.54BP、47.04BP和33.44BP。如果从中位数的收益表现来看,则历年定开债基收益均超过非定开债基。波动率指标看,定开债基的净值波动更为明显,对应的历年平均波动率和中位数波动率也更高,其原因或与两者底层持仓中短久期、高流动性资产的配置差异有关。从最大回撤上看,定开债基的回撤幅度,整体上也要小于非定开债基,但同样地,2017年非定开债基地总体回撤水平更小一些。夏普率指标看,定开债基在2015年、2016年和2020年前三季度地风险后收益表现更好,但在2017年、2018年和2019年则非定开债基表现更优。

▼定开和非定开债基历年业绩表现

数据来源:Wind、好买基金研究中心

数据时间:2015~2020/9/30

▼定开债基相对非定开债基历年超额收益表现(BPs)

数据来源:Wind、好买基金研究中心

数据时间:2015~2020/9/30

二、显著性检验

为了检验定开债基和非定开债基在收益率、波动率、最大回撤和夏普率指标表现上是否存在显著性差异,我们采用Wilcoxon[1]秩和检验对2015年以来历年的数据样本进行分析。具体操作中,统计检验选择单侧,同时因涉及到小样本,将采用精确检验。原假设为非定开债基的绩效指标数值大于定开债基,本文显著性水平取0.1。如果统计检验所得的P 值小于0.1,则拒绝原假设,即可以认为定开债基的绩效表现好于非定开债基,且具有统计学意义;而如果P值大于0.1,则结论相反。统计检验之前,通过可视化结果,也可以比较直观地看出定开债基的收益率相对更好,但在波动率、最大回撤和夏普率上的表现则差异不太明显。

▼银行和非银行背景基金经理业绩回报对比

数据来源:Wind、好买基金研究中心

数据时间:2015~2020/9/30

从统计检验结果不难看出,在业绩回报上,除了2017年外,其余5个年份及时间区间内,定开债基的收益率均显著高于非定开债基,尤其2016年、2018年、2019年和2020年前三季度,检验结果显著性非常高,对应P值均低于0.01。波动率上,2015年和2020年前三季度,检验结果不显著,无法判断定开债基的波动率水平显著超过非定开债基,但2016~2019年连续4年间,P值均小于0.1,说明定开债基波动率水平高于非定开债基,具有统计学意义。最大回撤上,仅今年前三季度,定开债基的回撤显著超过非定开债基,其余年份两类债基的最大回撤并无明显差异。夏普率的表现上,二者难分伯仲,2015年、2016年和今年前三年季度定开债基夏普率显著高于非定开债基,但2017年和2018年则相反,2019年差异不明显。意味着,从风险后收益角度,定开和非定开债基之间的差异并不稳定。

▼定开和非定开债基历年绩效指标的Wilcoxon秩和检验P值

数据来源:Wind、好买基金研究中心

数据时间:2015~2020/9/30

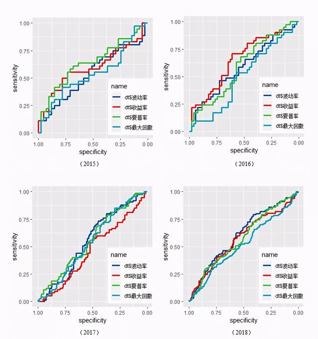
三、ROC&AUC

为反向验证定开债基和非定开债基在业绩和绩效表现上的差异,我们尝试借助ROC曲线[1]探索收益率、波动率、最大回撤和夏普率对两类基金的分类效果。ROC曲线下面积(Area under the Curve,简称AUC)越大,表明指标的分类效果越好,当该指标在0.5左右时,一般代表随机情形,即对两种类型债基的识别准确率基本在50%附近,效果往往很差,曲线越靠近左上角则,表明对应的识别效果越好。从历年ROC曲线的图形结果不难看出,除了2017年外,其余年份收益率的区分效果相对较好,前文的显著性检验结果也与此对应。从波动率的ROC曲线看,2018年,尤其2019年的区分效果最好,其他年份效果欠佳或比较一般,该结果也与显著性检验的结果一致。而最大回撤和夏普率的ROC曲线基本都在对角线附近,总体上对两类基金区分效果较差。

▼绩效指标对定开和非定开债基ROC曲线

数据来源:Wind、好买基金研究中心

数据时间:2015~2020/9/30

注:sensitivity(灵敏度)表示对定开债基的识别准确率,specificity(特异度)则表示对非定开债基的识别准确率。

从历年的灵敏度和特异度指标来看,四个指标对定开债基的识别效果总体上要明显好于非定开债基,收益率、波动率、最大回撤和夏普率在各自最佳阈值下,对定开债基识别的平均准确率分别为0.635、0.669、0.606和0.660,不难看出最大回撤的效果相对较差,对于非定开债基的识别的平均准确率分别为0.582、0.490、0.506和0.508,数值上均未能超过0.6,波动率甚至不到0.5。

▼绩效指标对定开和非定开债基灵敏度、特异度和最优阈值

数据来源:Wind、好买基金研究中心

数据时间:2015~2020/9/30

从各个绩效指标历年的AUC数值结果看,收益率的平均值为0.591,在4个指标中最高,但同样地可以看到,其2017年的AUC值仅0.468。其次,可以看到夏普率的平均AUC值为0.573,2019年的数值较低。波动率的平均AUC值为0.567历年表现相对均衡,均在0.5以上。最大回撤的平均AUC值最低,仅为0.522。总体上,可以看出,上述结果与前文的显著性检验结果基本一致。

▼绩效指标对定开和非定开债基AUC值

数据来源:Wind、好买基金研究中心

数据时间:2015~2020/9/30

总结

通过对历年中长期纯债基金的绩效分析,不难看出定开债基相对于非定开债基在收益率表现上确实显著更好,其可能的原因是负债端相对稳定的定开债基在底层配置上可以尽可能降低流动性仓位占比,配置收益率水平更高、久期更长的债券品种。正因此,定开债基在市场调整时往往也将面临更大的波动风险。由于定开债基和非定开债基在收益和波动上的不同表现,两类基金的夏普率表现难分上下,且历年差异较大。但是,在最大回撤上,定开债基和非定开债基的差异总体上并不显著。对于那些愿意牺牲一定流动性的投资者而言,定开债基或许是更合适的选择。

本文系好买商学院原创,如需转载,请在文章开头注明来源于“好买商学院”。未经授权,任何媒体和个人不得全部或者部分转载,否则将承担相应的法律责任。

免责条款:本文内容为基于公开资料研究完成,并不构成投资建议。投资者应审慎决策、独立承担风险。

边学边赚,就在好买商学院!更多内容,关注我们@好买商学院

郑重声明:本网站所有信息仅供参考,不做交易和服务的根据,如自行使用本网资料发生偏差,本站概不负责,亦不负任何法律责任。如有侵权行为,请第一时间联系我们修改或删除,多谢。